学習が不安なあなたへ-18数学【関数】2次関数-

記事
コラム
皆さんこんにちは。お読みいただきありがとうございます。
今回は、関数の分野解説最終回
中3【関数】2次関数
早速、進めていきましょう。

1.例題
18_1.png

2.解答
18_5.png
18_page-0003.jpg
18_2.png

18_3.png

全問正解の人は、解説を読む必要はありません。
問題集を使って問題演習をしましょう。

3.解説
中学生最後の関数は、2次関数。
今まで直線の関数(一次関数)、双曲線の関数(反比例)を学んできました。
今回は、2次関数。

ある量xが2,3,4倍になるとき、それにともなってもう1つの量yがその2乗倍、すなわち4,9,16 倍になるような関係のことを2次関数といいます。
「yがxの2次式(2乗)で表される」ことです。
 式に表すと、
18_6.png
となります。
決まった数をaとすると
a>0のとき、下に凸の放物線
a<0のとき、上に凸の放物線
になります。

2次関数のグラフを書く問題です。

グラフを書くものは、関数を制する!というくらい、問題を読んだらさっとグラフを書く習慣をつけましょう。

グラフを書く時は、
x軸を横に
y軸を縦に
x軸とy軸の交点を0とする
この3つの注意点を忘れずに。
14_5.png

まずは、軸を書きます。原点「0」、軸名「x」、「y」の表記を忘れずに。

ここに、x=1の時、y=2、x=2の時y=8、・・・
と、表にした数値をグラフに記入(プロット)していきます。
18_4.png

x軸、y軸にメモリをとるのを忘れずに。
18_7.png
最後に、この点をフリーハンドでなめらかにつないで、グラフの出来上がりです。

18_5.png
y軸を対象の軸として、線対称のグラフになります。

次は、1次関数y=x+3のグラフを書きます。
x=1の時、y=4、x=2の時y=5、・・・
と、表にした数値をグラフに記入(プロット)していきます。
18_8.png
最後に、各点を定規でつないで出来上がりです。
18_page-0003.jpg
この2つのグラフから、交点が大体わかります。
正確には、計算して算出します。

放物線y=2 x²と直線y=x+3の交点では、y座標が一致するので、
2 x²=x+3
の2次方程式の解を求める。

(1)因数分解で解く方法
2x² -x-3=0
(2x-3)(x+1)=0
x= 3/2 ,-1
y=x+3にそれぞれ代入して
18_2.png

因数分解が思いつかない時は、解の方程式を使って解くこともできます。

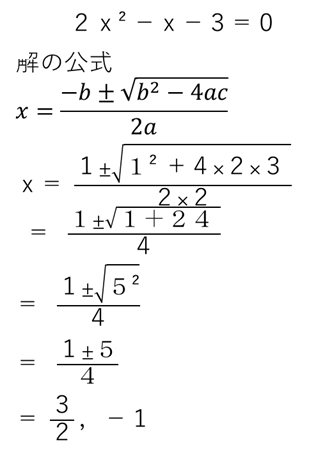
(2)解の方程式で解く方法
13_4.png
18_11.png
となります。
y=x+3にそれぞれ代入して
18_2.png
となります。

18_12.png
グラフを書くものは、関数を制する!というくらい、問題を読んだらさっとグラフを書く習慣をつけましょう。
だいだいでいいので、解答の目星をつけられるような(イメージできるような)グラフを書きます。

2次関数は、 式に表すと、y = (決まっ た数)× x²となります。
決まった数をaとすると
a>0のとき、下に凸の放物線
a<0のとき、上に凸の放物線
になります。
今回の問題では、a<0なので、上に凸の放物線になります。

18_page-0005.jpg
③の問題と同じように解いてみます。


放物線y=-2 x²と直線y=-x-3の交点ではy座標が一致するので、
-2 x²=ーx-3
の2次方程式の解を求める。

(1)因数分解で解く方法
2x² -x-3=0
(2x-3)(x+1)=0
x= 3/2 ,-1
y=-x-3にそれぞれ代入して
18_3.png

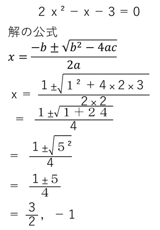
(2)解の方程式で解く方法
13_4.png

18_13.png
y=-x-3にそれぞれ代入して
18_3.png

4.終わりに
グラフを書くものは、関数を制する!というくらい、問題を読んだらさっとグラフを書く習慣をつけましょう。
だいだいでいいので、解答の目星をつけられるような(イメージできるような)グラフを書くことが肝要です。
サービス数40万件のスキルマーケット、あなたにぴったりのサービスを探す ココナラコンテンツマーケット ノウハウ記事・テンプレート・デザイン素材はこちら