学習が不安なあなたへ-17算数【計算】分数の割り算-

記事
コラム
皆さんこんにちは。お読みいただきありがとうございます。
今回は、前回に引き続き、ちょっとに算数寄り道の
【計算】分数の割り算
早速、進めていきましょう。

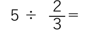
1.例題
17_1.png

2.解答
17_2.png

全問正解の人は、解説を読む必要はありません。
問題集を使って問題演習をしましょう。

3.解説
分数の割り算、少し抽象的な内容になるため苦手とする方が多い分野です。
まずは、前回のおさらいになりますが、分数とは何かについて考えていきたいと思います。

17_3.png

①1÷6=
前回の問題を思い出してみましょう。
「1枚のピザを6人で分けます。1人あたり何枚のピザをもらえますか?」
17_5.png
17_4.png

と考えることができます。
分数は、数の割り算を示すことができるのです。
この概念をしっかりもってください。

17_6.png
これは、①と同様に考えると
「2/3枚のピザを5人で分けます。1人あたり何枚のピザをもらえますか?」
と読み替えることができます。
17_9.png

17_15.png
と考えることができます。

ここで、分数の割り算について、今一度考えてみましょう。
17_page-0011.jpg
と表現することができます。

 割られる数 ÷ 割る数
=割られる数 × 割る数の逆数
と表すことができます。

逆数とは?
5の逆数とは、
17_10.png
です。
ある数に対して、その逆数を掛けると1になります。
この考え方を用いれば、
17_11.png
となります。
あとは、掛け算。
17_12.png
となります。

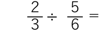
だんだん、ピザで考えることが難しい、抽象的な概念になります。

17_7.png
これは、文章題にするならば
「5グラムの針金が2/3メートルあります。この針金1メートルの重さはいくつですか?」
となります。
(2/3メートルなんて、厳密に測れないじゃないか!なんて言わないでください。このあたりが抽象的な概念になるところです。)

先ほどの分数の概念に当てはめてみましょう。
17_13.png
となります。

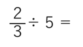
17_8.png
こうなってくると、文章表現では難しい領域。
計算問題として解いてみると、

17_14.png
となります。
計算途中で約分できるので、掛け算をする前に約分してしまうと、計算が楽になります。
もし、計算途中に約分に気づけなくても大丈夫。
出した答えで約分できないか、今一度考えましょう。

4.終わりに
抽象的な概念になる分数÷分数の計算では、計算方法である「割られる数 × 割る数の逆数」を覚えておくと便利です。

5.おまけ
分数の割り算で、なぜ割る数の逆数を掛けるのか、疑問に思う方は、下記を参考にしてください。
17l_page-0001.jpg

サービス数40万件のスキルマーケット、あなたにぴったりのサービスを探す ココナラコンテンツマーケット ノウハウ記事・テンプレート・デザイン素材はこちら