学習が不安なあなたへ-16算数【計算】分数-

記事
コラム
皆さんこんにちは。お読みいただきありがとうございます。
今回は、ちょっと数学からの寄り道。苦手な人も多い、
分数の計算
について考えます。

1.例題
16_1.png

2.解答
16_2.png

全問正解の人は、解説を読む必要はありません。
問題集を使って問題演習をしましょう。

3.解説
小学校3年生で習い始める分数。
では、分数とはそもそも何か?
分数は、数の割り算を示します。
16_1_page-0002.jpg

①1枚のピザを6人で分けます。1人あたり何枚のピザをもらえますか?
という設問では、

1枚のピザ:割られる数
6人:割る数
となります。

そして、
分子に割られる数
分母に割る数
をおいて、分数を表現します。
古代ギリシャの数学者たちはこぞって分数を使ったといわれています。

この問題では
16_3.png
が解答となります。

この分数表記、実は小数で表そうとすると、
1÷6=0.1666666666666666666・・・・
となり、割り切れません。
そのため、分数で表すと便利です。
実は、分数は小数では表しきることのできないすべての有理数を表現することができます。

②0.123を分数で表しましょう
ここで、0.123は、123にいくつを掛けたらよいかを考えます。
まずは、小数でいくつを掛けたらよいのか考えます。
0.123=□×123
□には、何がはいるでしょうか?

ここで、
0.123を123にするために、小数点を右に何回動かしたかを考えます。

16_4.png
緑色の△の数、すなわち3回右に動かしたと考えられます。
では、その分の小数をかけてあげればいいので、
16_5.png
1に対して、小数点を3回左に動かした
0.001
をかければよいのです。

0.123= □ ×123
0.123= 1 ×0.123
0.123=0.001×123

では、0.001は分数ではいくつになりますか?
16_6.png
0.001が何個集まると、1になるか考えてください。
そう。1000個。
0.001×1000=1です。
すなわち。1を1000で割ったものが0.001と言い換えられます。

よって、
16_7.png
と小数を分数として表すことができます。

16_8.png

分数を小数で表す問題です。
まずは、分数を割り算に戻しましょう。

16_9.png

分子(7)が割られる数
分母(2)が割る数
です。
よって、

16_10.png

これをひっ算で計算してみると、
16_11.png
となります。

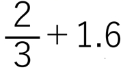
最終問題です。
16_12.png

さて、分数と小数の混ざった計算です。
ここで、大切なポイント。
分数と小数の混ざった計算では、小数を分数に変えて、分数で計算します。

①の問題で少し触れましたが、分数は小数では表しきることのできないすべての有理数を表現することができます。
そのため、分数と小数の混ざった計算では、小数を分数に変えて計算します。

1.6を分数にすると、いくつになるでしょうか?
②の問題を思い出してください。

まずは、1.6を小数×整数(16)で表すことを考えます。
小数でいくつを掛けたらよいですか?
1.6=□×16
□には、何がはいるでしょうか?
そう、0.1をかければよいのです。

次に、0.1を分数に直します。
0.1が何個集まると、1になるか考えてください。そう。10個。
よって、

16_13.png
となります。

最後に、約分をしています。

分子と分母の約数でそれぞれを割ることを約分といいます。
分数を最も簡単な形にするために分子と分母の両方を共通の約数で割ります。

今回は、分子16、分母10。
それぞれ、2で割ることができるので、
分子16÷2=8
分母10÷2=5
となります。

これ以上、両方に共通する約数がないため、これが最も簡単な分数表現となります。

さて、分数どうしの足し算になったので、計算してみましょう。
まず、それぞれの分母に注目します。
分母が違う時は、足し算ができません。どうするか、、、
通分しましょう。
通分とは、分母どおしの最小公倍数でその分数を変形することです。

3の公倍数:6,8,12,15,18・・・
5の公倍数:10,15,20,25,30・・・

今回の分母は3と5。3と5の最小公倍数は15なので分母を15にします。
通分する時は、分子と分母に同じ数を掛けます。

16_15.png

これで、分母どうしが同じ15になったので、分子どうし足し算ができます。

16_14.png
出てきた答えが約分できるかどうかの確認を忘れずに。

今回は、足し算でしたが、分数どうしの引き算の場合も、分母をそろえて(通分して)から分子の引き算を行ってください。出てきた答えが約分できるかどうかの確認を忘れずに。

分数の掛け算は、分子どうし、分母どうしを掛けます。計算途中で約分できる時は、掛け算をする前に約分してしまうと、計算が楽になります。

分数の割り算は、次回ブログに取り上げます。

4.終わりに
算数でも数学でも、いつでも顔を出す分数。苦手意識のある方は、ぜひこのブログを読み返して、苦手意識が薄らぐことを期待します。

サービス数40万件のスキルマーケット、あなたにぴったりのサービスを探す ココナラコンテンツマーケット ノウハウ記事・テンプレート・デザイン素材はこちら