学習が不安なあなたへ-22数学【図形】平面図形(3)-

記事
コラム
皆さんこんにちは。お読みいただきありがとうございます。
今回は、平面図形の分野解説
中1【図形】平面図形(円)
早速、進めていきましょう。

1.例題
22_1.png

2.解答
22_2.png

全問正解の人は、解説を読む必要はありません。
問題集を使って問題演習をしましょう。

3.解説
この円の問題は、記憶しなくてはいけないことがあります。
それは、円の公式。
小学校の頃に、勉強したことを思い出しながら、、、
円の円周は、 半径×2×3.14
円の面積は、半径×半径×3.14
思い出しましたか?呪文。
中学校では、3.14のかわりに「π」(パイ)を使います。
円周率π=3.141592・・・無限に続く数字なので略してπ。便利です。

では、問題の答えにいきなりいってしまいますが、、、

①半径rの円の円周の長さを求めよ。
22_3.png
図の緑色が円周です。この長さは、公式に当てはめて、
円周の長さ=半径r×2×π
=直径2r×π
=2πr

πは数字扱いなので、実数よりも後ろ、文字よりも前に書くとエレガントです。

②半径rの円の面積を求めよ。
22_4.png
次は、面積なので、図の緑色で塗りつぶされた面の大きさを求めます。
公式に当てはめて
円の面積=半径r×半径r×π
=πr²

πは数字扱いなので、文字よりも前に書くとエレガントです。

③半径r、中心角a°の扇形の弧の長さを求めよ。
次は、扇形です。

22_5.png
今度は、弧なので、青色の線の長さℓを求めます。
円は、一周360°なので、
一周分の弧の長さは、円周の長さと一致します(2πr)。
中心角はa°で、360°と比べてどのくらいかということで、比を使うと
360°:a°=2πr:ℓ
内項と外項の積より、360ℓ=2πr×a
22_6.png
となります。約分をお忘れなく。

また、問題によっては、「扇形の外周の長さを求めよ」と質問されることがあります。この時は、弧の長さℓに半径r×2を加えたものが答えになるので、問題文に注意してください。

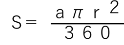
④半径r中心角a°の扇形の面積を求めよ。

22_7.png
次は、面積なので、図の青色で塗りつぶされた面Sの大きさを求めます。
中心角はa°で、360°の円と比べてどのくらいかということで、比を使うと
360°:a°=πr²:S
内項と外項の積より、360S=πr²×a
よって、
22_8.png
となります。

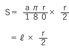
ここで、③の答えと④の答えをじっと見つめてみてください。なんだか似ていませんか?
実は、
22_9.png
すなわち、扇形を三角形とみなして、
底辺(ℓ)×高さ(r)÷2
の三角形の公式で扇形の面積が求めることができます。

4.終わりに
身近な円について、学びました。小学校の頃の円の性質についての学習を振り返りながら、演習に取り組んでみてください。
サービス数40万件のスキルマーケット、あなたにぴったりのサービスを探す ココナラコンテンツマーケット ノウハウ記事・テンプレート・デザイン素材はこちら