学習が不安なあなたへ-23数学【図形】立体図形-

記事
コラム
皆さんこんにちは。お読みいただきありがとうございます。
今回は、図形の分野解説
中1【図形】立体図形
早速、進めていきましょう。

1.例題
23_1.png

23_2.png

2.解答
23_3.png

全問正解の人は、解説を読む必要はありません。
問題集を使って問題演習をしましょう。

3.解説
前回まで、平面図形について学びました。
今回からは、立体図形について学んでいきましょう。

まずは、体積です。
①角柱の体積V
底面が△でも□でも5角形以上であっても、体積Vは
体積V=底面積S×高さh
で表されます。

②円柱の体積V
先ほどの角柱の体積と同じく、底面が○になっただけなので、
体積V=底面積S×高さh
で表されます。

③円錐の体積V
円錐の体積は円柱の体積の1/3になります。
底面積S
=円の面積
=半径r×半径r×π
=πr²
なので、高さhと1/3を掛けて、円錐の体積Vは
23_5.png
となります。

同様に角錐の体積は角柱の体積の1/3になります。

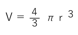
④球の体積
これは公式として覚える必要があります。
球の体積V
23_6.png

次に表面積です。
表面積を考える時は、ぜひ、展開図を描いてください。

⑤角柱(底面は長方形)
縦a、横b、高さh
23_7.png

底面と上面の面積はそれぞれa×b
2面あるので2abとなります。
側面積はそれぞれ、a×h、b×h、a×h、b×h
4面の合計は、2ah+2bhとなります。
合計すると
2ab+2ah+2bh

⑥円柱
半径r、高さh
23_8.png
底面と上面の面積はそれぞれπr²。
2面あるので2πr²となります。
側面積は、高さh、辺2πr(円の円周)の長方形なので、2 πrh。
合計すると、
2πr²+2 πrh

⑦円錐
底面半径r
高さh
弧の長さℓ
23_9.png
底面は、円なので面積はπr²
側面積は、扇形の面積なので
(円周の長さ)×(弧の長さℓ)×1/2
=2πr×ℓ×1/2
=πℓr
それぞれ合計すると、
πr²+πℓr
となります。

⑧球
これは公式として覚える必要があります。
球の表面積S
23_10.png

4.終わりに
いろいろな体積と表面積の求め方を学習しました。理解できたら、演習問題で研鑽を積みましょう。
サービス数40万件のスキルマーケット、あなたにぴったりのサービスを探す ココナラコンテンツマーケット ノウハウ記事・テンプレート・デザイン素材はこちら