【高校物理】エネルギー保存・運動量保存は使える条件を分かった上で使おう

記事
学び
<問題>
滑らかな床の上にバネ定数kのバネが置かれている。自然長の状態で両端に質量mの小球をつないで置く。一方の小球に、質量mの別の小球を速さv0で弾性衝突させて、速度v0を与えると、2つの小球は運動を始めた。2つの小球が最も接近したときのバネの縮みxを求めよ。ただし、バネは曲がらず置かれており、運動はすべてバネの方向に沿って行われる。
バネ.jpg

<解説>
この問題、力学的エネルギー保存の法則と運動量保存の法則を使うのですが、使うのなら、使える条件を満たしてないといけません。当然、条件を満たしていることを確認するのが当たり前。ところが、条件など確認せず、ただなんとなく使っている人が多いです。今回は、そこを確認します。

まず、最も接近している状態とはどのような状態か?床からではなく、一方の小球から運動を観測してみましょう。もう一方の小球がだんだん接近してきて、最も接近したところで一瞬止まり、今度はだんだん離れていく。一方から見て他方が止まって見える、ということは両者の速度が同じだと言うことです。つまり、最も接近したとき両者の速度は同じです。その速度をvと置きましょう。

ここからが本題。運動の過程ではたらく力をすべて挙げます。重力、垂直抗力、弾性力ですね。

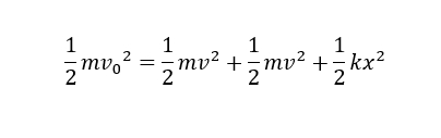
エネルギーから
力学的エネルギー保存の法則が成立する条件は、運動の過程で仕事をする力が保存力だけである、ということです。
重力は仕事をしていない、垂直抗力は仕事をしていない、弾性力は仕事をしている。
弾性力は保存力。したがって力学的エネルギー保存の法則が成立している。
coconara1.png

次は運動量
運動量保存の法則が成立する条件は、運動の過程ではたらく力が内力だけである、ということです。
重力は外力、垂直抗力は外力、弾性力は内力(と見なせる)。外力である重力と垂直抗力は常につり合っているので、合力はゼロ。したがって、内力である弾性力だけがはたらいていると見なせる。よって、運動量保存の法則が成立している。
coconara2.png

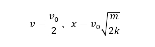
2式を解いて
coconara3.png

このように、筋道を立ててエネルギー保存・運動量保存が成立することを示すことができないといけません。なんとなくでは応用問題に太刀打ちできません。

・力学的エネルギー保存の法則の使い方
①力をすべて挙げる
②力を、仕事をする力と仕事をしない力に区別する
③仕事をする力が保存力かどうか調べる

・運動量保存の法則の使い方
①力をすべて挙げる
②はたらく力が内力だけか調べる

━━━━━━━━━━━━━━━━━━━━━━━━

・独学で大学受験を目指しているが、どうしても誰かに質問したいことがあって困っている

・学校、予備校・塾で分からないことがあるが、質問しづらい雰囲気

こういう方いませんか。そんな方には【チャットサポート授業】

学参著者が直接指導、物理・化学を1月放題で教えます

チャットのサンプルはこちら
504F20E8-9F6B-46DF-859B-B8E84D3EACC1_1_201_a.jpeg
9748C67A-7702-45E7-91BA-7FEFCC364E63_1_201_a.jpeg


生徒にはとても分かりやすいと好評です。

独学で一人悩みを抱え込まないように
予備校通いをムダにしないために

【チャットサポート授業】をお考えください。ぜひ。


プロフィール

高校物理・化学家庭教師
生徒合格実績
東京大学理Ⅲ、大阪市立大学医学部、近畿大学医学部、近畿大学薬学部など
学習参考書『高校物理発想法』出版
その他、Kindle書籍多数出版


サービス数40万件のスキルマーケット、あなたにぴったりのサービスを探す ココナラコンテンツマーケット ノウハウ記事・テンプレート・デザイン素材はこちら