2024年度 共通テスト 化学基礎解説

コンテンツ
学び
この記事では、2024年度共通テストの化学基礎について解説しています。
あくまで、私ならこう解く、という内容で、最適解ではありません。
参考までにしていただければと思います。

第1問

問1

chf1-1.png

問2

chf1-2-1.png
chf1-2-2.png
chf1-2-3.png
chf1-2-4.png

問3

chf1-3.png

問4

chf1-4.png

問5

chf1-5.png

問6

chf1-6.png

問7

chf1-7.png

問8

chf1-8.png

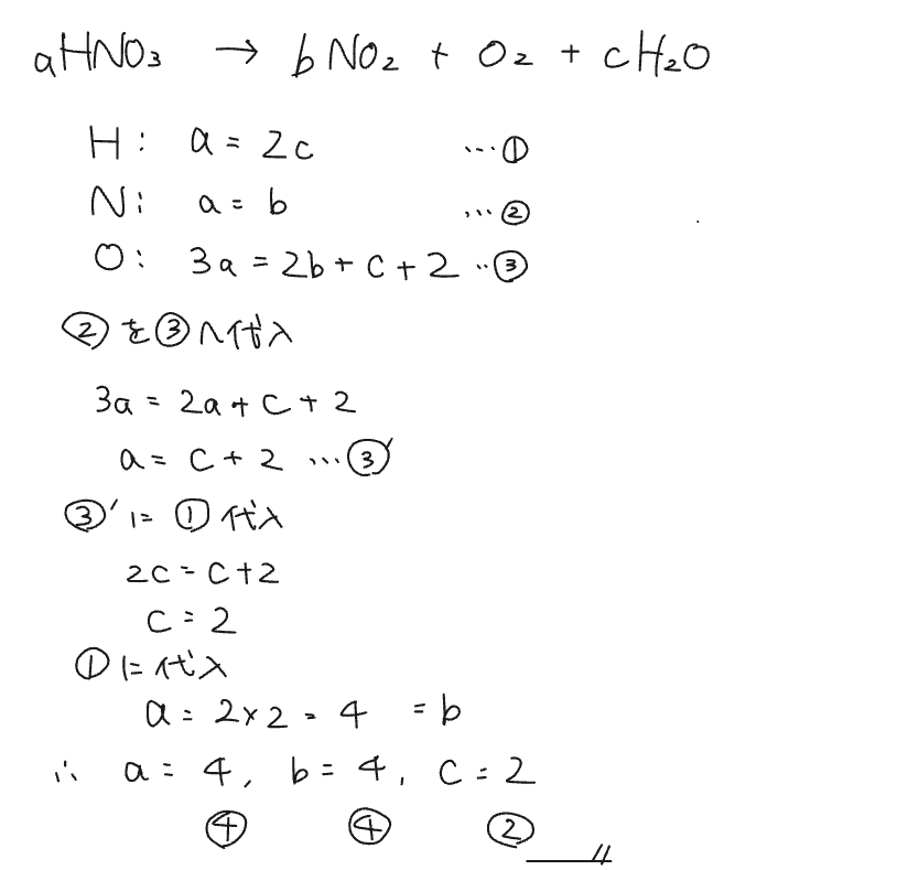
問9

a

chf1-9a.png

b

chf1-9b.png

第2問

問1

a

chf2-1.png

b

chf2-2.png

問2

a

chf2-2a.png

b

chf2-2b.png

問3

a

chf2-3a.png

b

chf2-3b.png

もっと詳しく解説してほしい!という方は、ぜひサービスをご利用ください。
ビデオチャット、テキストチャット、解説書作成など、
様々な形でご対応できます。お気軽にご相談ください!
初めてビデオチャットをご利用する方にはお得な初回限定プランもございます。

サービス数40万件のスキルマーケット、あなたにぴったりのサービスを探す ココナラコンテンツマーケット ノウハウ記事・テンプレート・デザイン素材はこちら