2024年度共通テスト化学 計算解説

コンテンツ
学び
計算問題を中心に、手書きにて解説の速報を公開しています。
なお、公式解説ではありませんので、参考にする程度でお願いいたします。
間違いがありましたらそっと教えてください。

大問1

問3
1-3.png

問5
b
1-5b.png


大問2

問2
2-2.png

問3
2-3.png

問4 a
2-4a.png

問4 b
2-4b.png


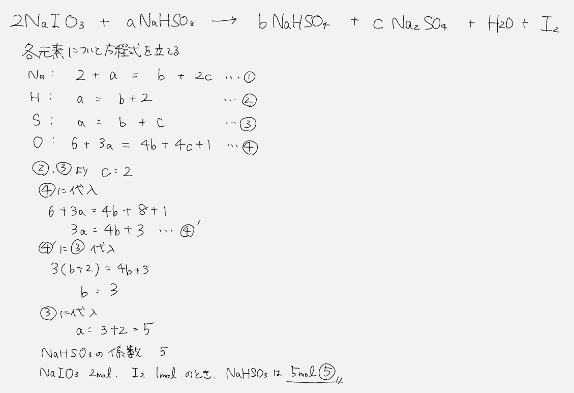
大問3

問4 b
3-4b.png

問4 c
3-4c.png


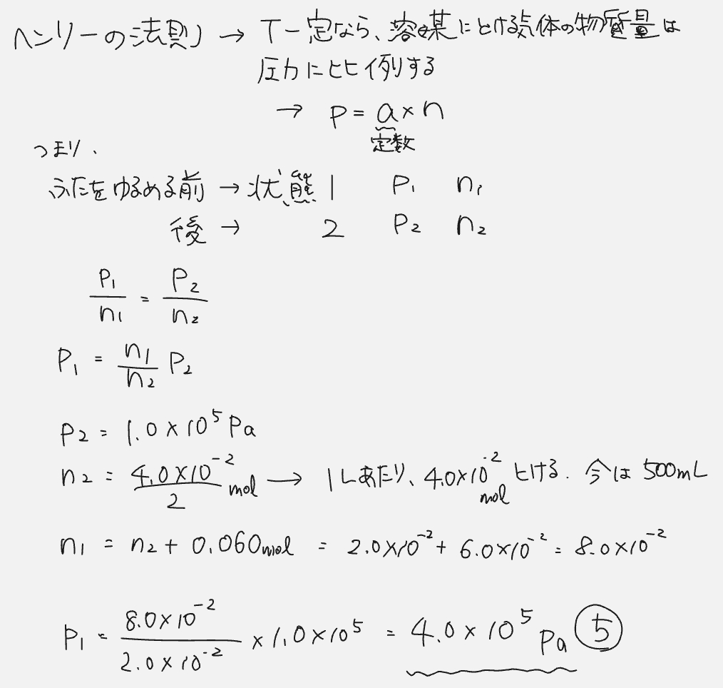
大問4

問4 c
4-4c.png


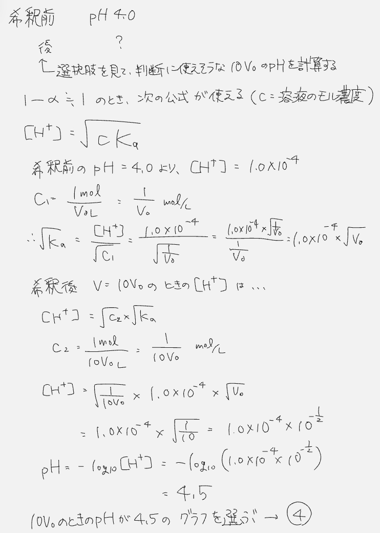
大問5

問3 c
5-3c.png

問3 d
5-3d.png

詳しく解説してほしい!という方は
よろしければオンライン家庭教師サービスをご利用ください。

サービス数40万件のスキルマーケット、あなたにぴったりのサービスを探す ココナラコンテンツマーケット ノウハウ記事・テンプレート・デザイン素材はこちら