ココナラブログ
  • ホーム
  • ブログトップ
  • ブログ
  • 学び

大学入試 過去問 信州大学 数学

記事
学び
user
笹野虎太郎
2022/12/11 21:05
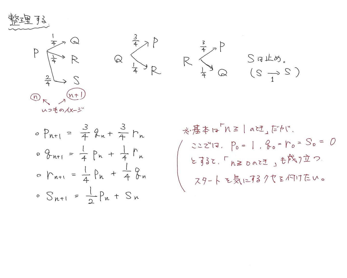
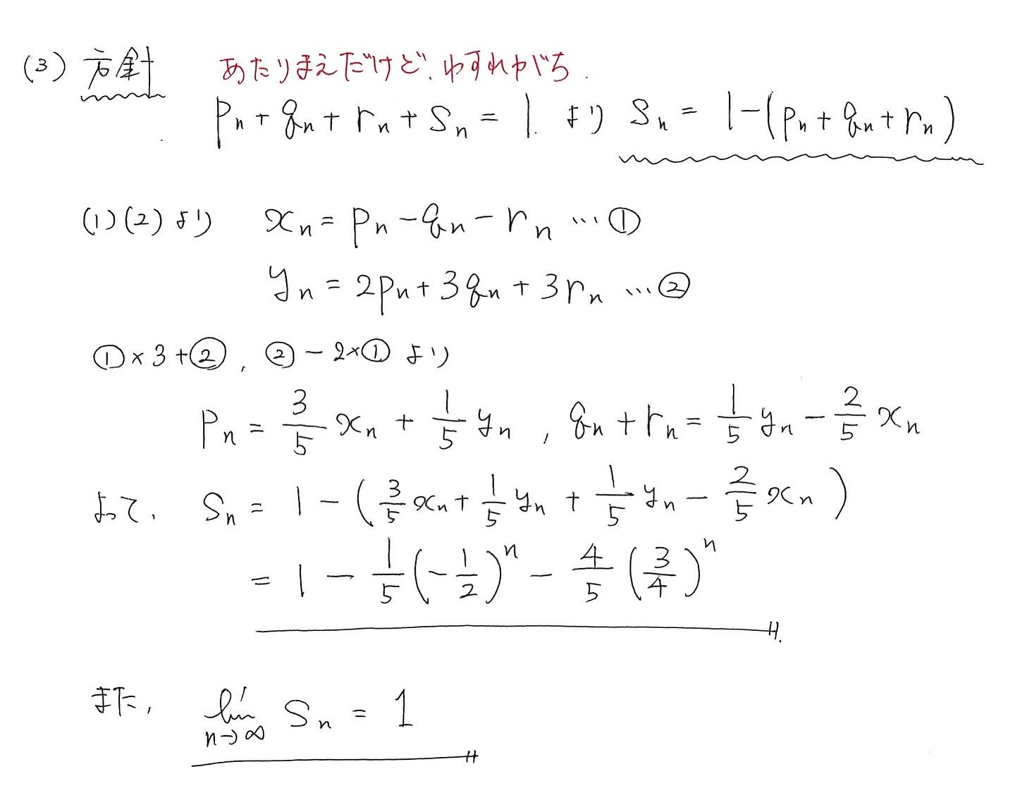
20221208_081823596_iOS.jpg
20221208_081823623_iOS.jpg
20221208_081823655_iOS.jpg
20221208_081823688_iOS.jpg
20221208_081823739_iOS.jpg

#学習#高校数学#大学受験#過去問解説
user
笹野虎太郎
教員,塾講師,投資家 / 30代後半 / 男性
  • 一覧に戻る
サービス数40万件のスキルマーケット、あなたにぴったりのサービスを探す ココナラコンテンツマーケット ノウハウ記事・テンプレート・デザイン素材はこちら