ココナラブログ
  • ホーム
  • ブログトップ
  • ブログ
  • 学び

大学入試 過去問 京都大学 数学

記事
学び
user
笹野虎太郎
2022/12/16 22:32
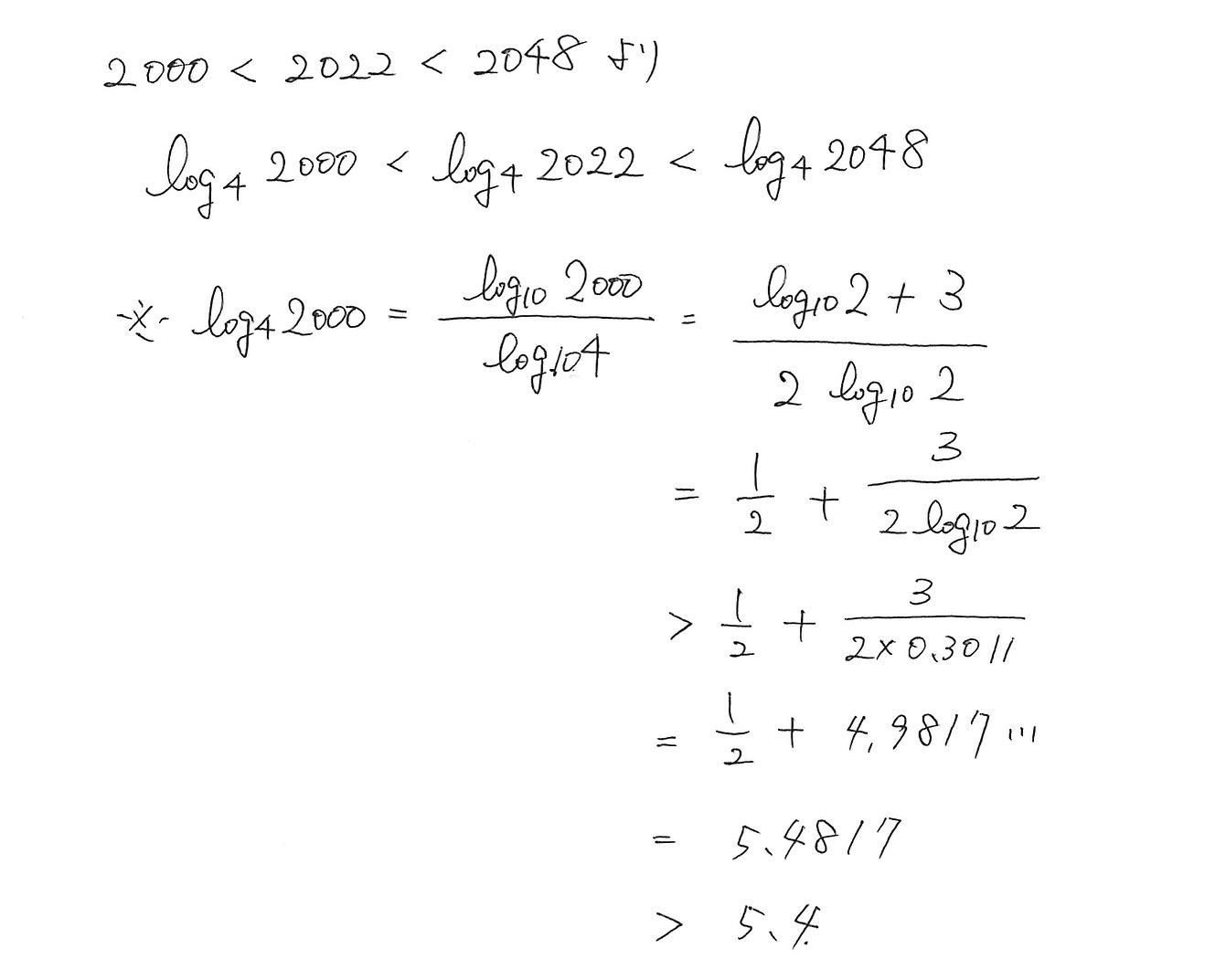
20221212_103000900_iOS.jpg
20221212_103000920_iOS.jpg
20221212_103000935_iOS.jpg

#学習#大学受験#高校数学#過去問解説
user
笹野虎太郎
教員,塾講師,投資家 / 30代後半 / 男性
  • 一覧に戻る
サービス数40万件のスキルマーケット、あなたにぴったりのサービスを探す ココナラコンテンツマーケット ノウハウ記事・テンプレート・デザイン素材はこちら