ココナラブログ
  • ホーム
  • ブログトップ
  • ブログ
  • 学び

大学入試 過去問 東京海洋大学 数学

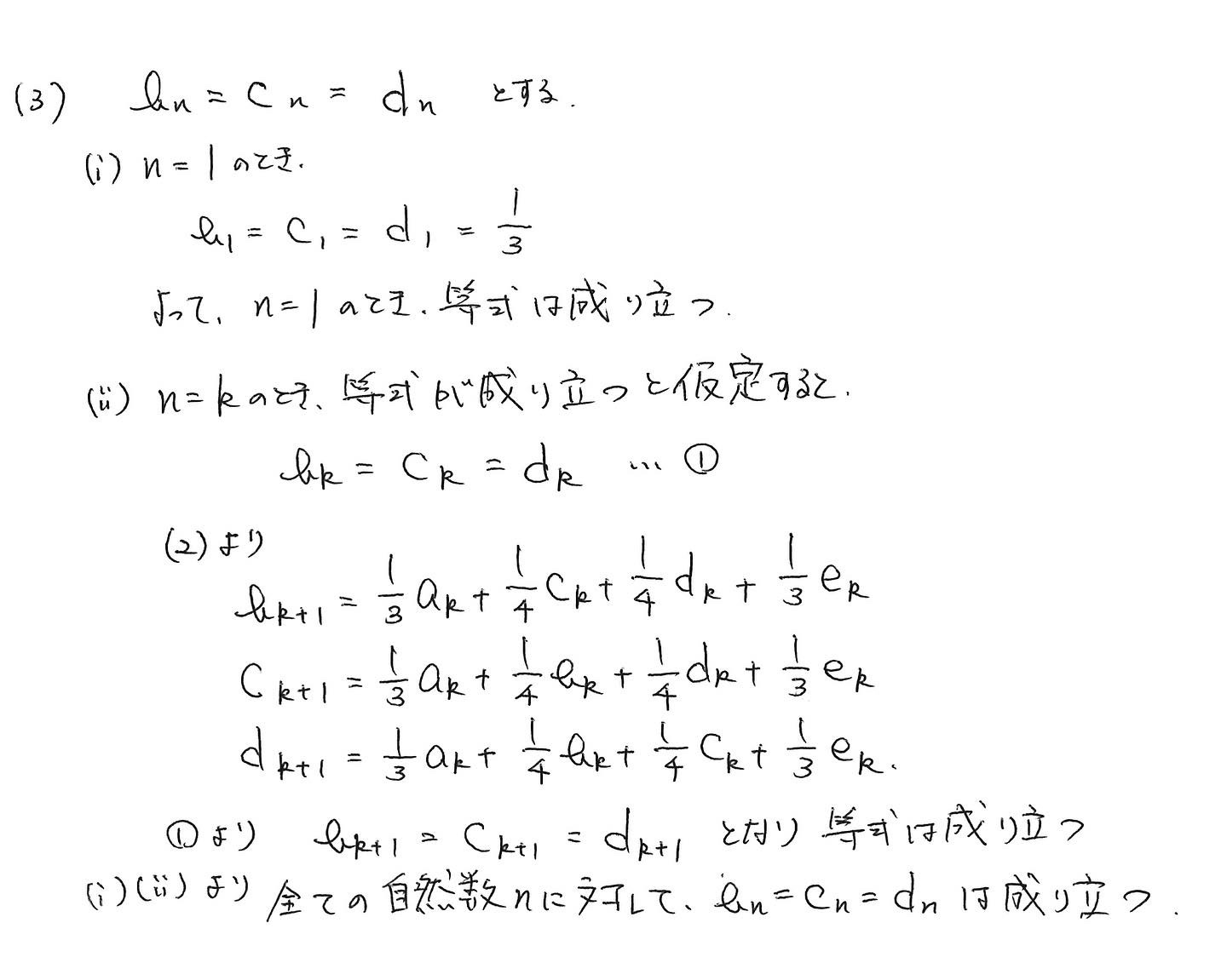
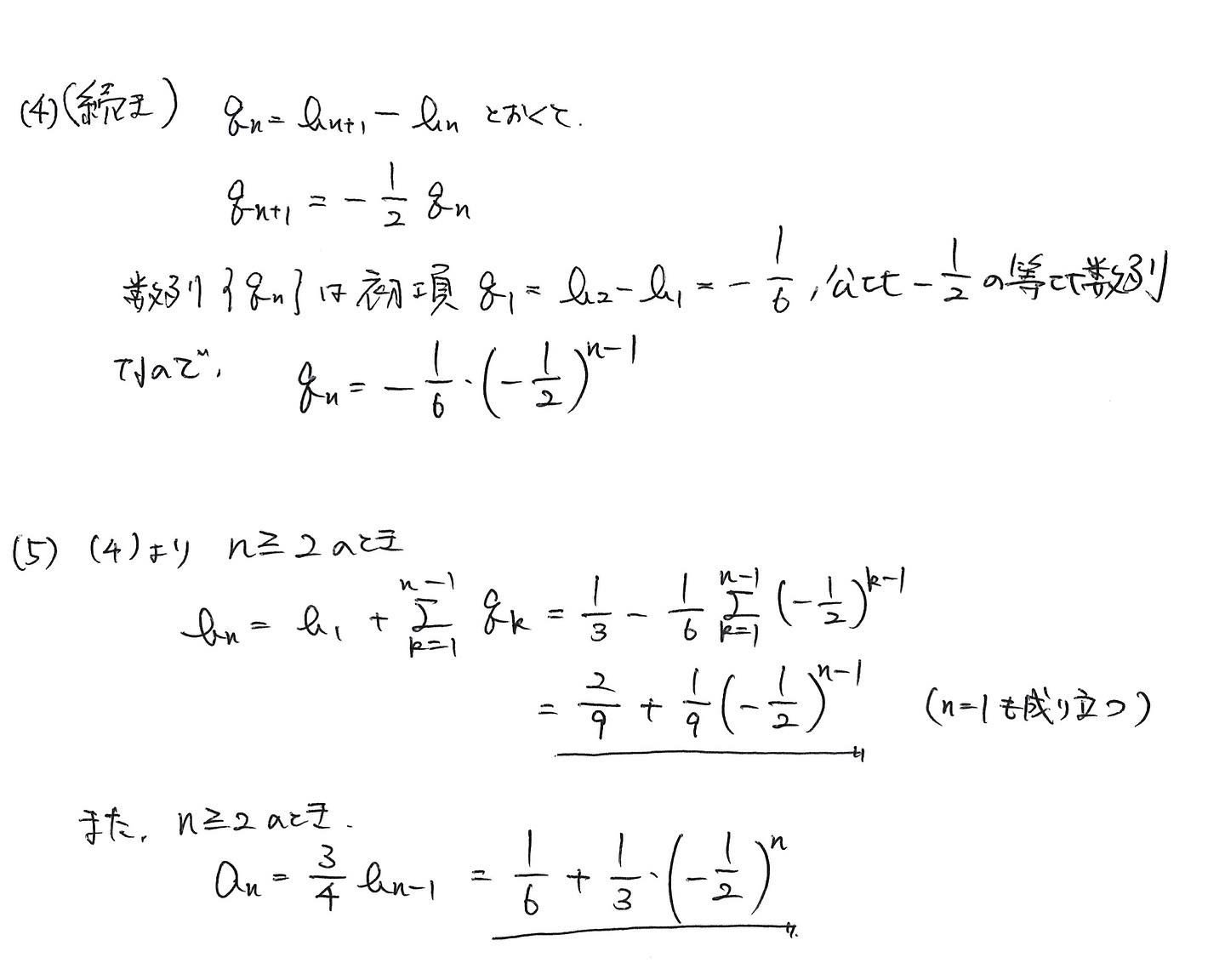
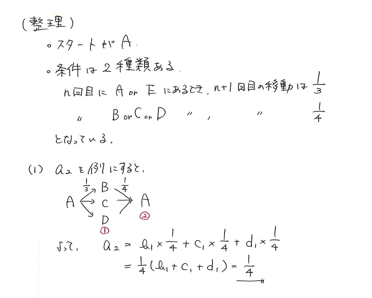
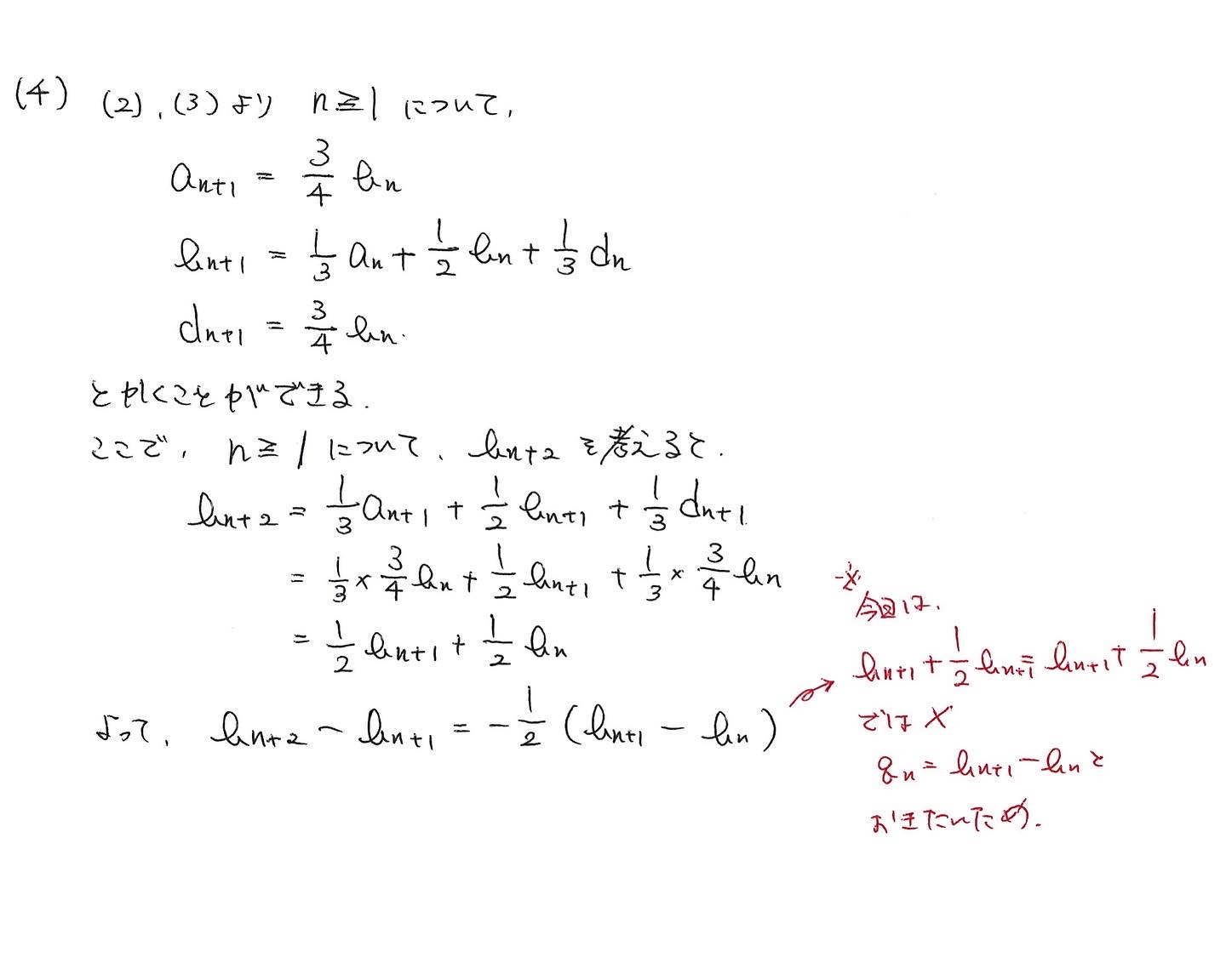
記事
学び
user
笹野虎太郎
2022/12/10 20:36
20221207_034907319_iOS.jpg
20221207_034907344_iOS.jpg
20221207_034907366_iOS.jpg
20221207_034907389_iOS.jpg
20221207_034907412_iOS.jpg
20221207_034907438_iOS.jpg
20221207_034907461_iOS.jpg

#学習#高校数学#大学受験#過去問解説
user
笹野虎太郎
教員,塾講師,投資家 / 30代後半 / 男性
  • 一覧に戻る
サービス数40万件のスキルマーケット、あなたにぴったりのサービスを探す ココナラコンテンツマーケット ノウハウ記事・テンプレート・デザイン素材はこちら