創作問題出品例(高校生、一般向け)

コンテンツ
学び
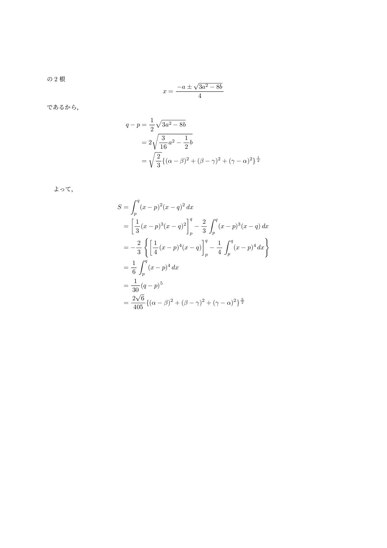
 当方ではご要望に応じ、数学の創作問題及び解答を提供いたします。カバー画像が問題例、以下に挙げる画像が解答例です。
4次関数の接線解答_001.png
4次関数の接線解答_002.png
 中学生、小学生(中学受験)向けの問題作成も承っております。どうぞ、よろしくお願いいたします。
サービス数40万件のスキルマーケット、あなたにぴったりのサービスを探す ココナラコンテンツマーケット ノウハウ記事・テンプレート・デザイン素材はこちら