ココナラブログ
  • ホーム
  • ブログトップ
  • ブログ
  • 学び

大学入試 過去問 九州大学 数学

記事
学び
user
笹野虎太郎
2023/01/03 22:40
20221222_115327402_iOS.jpg
20221222_115327419_iOS.jpg
20221222_115327434_iOS.jpg
20221222_115327447_iOS.jpg
20221222_115327460_iOS.jpg
20221222_115327474_iOS.jpg
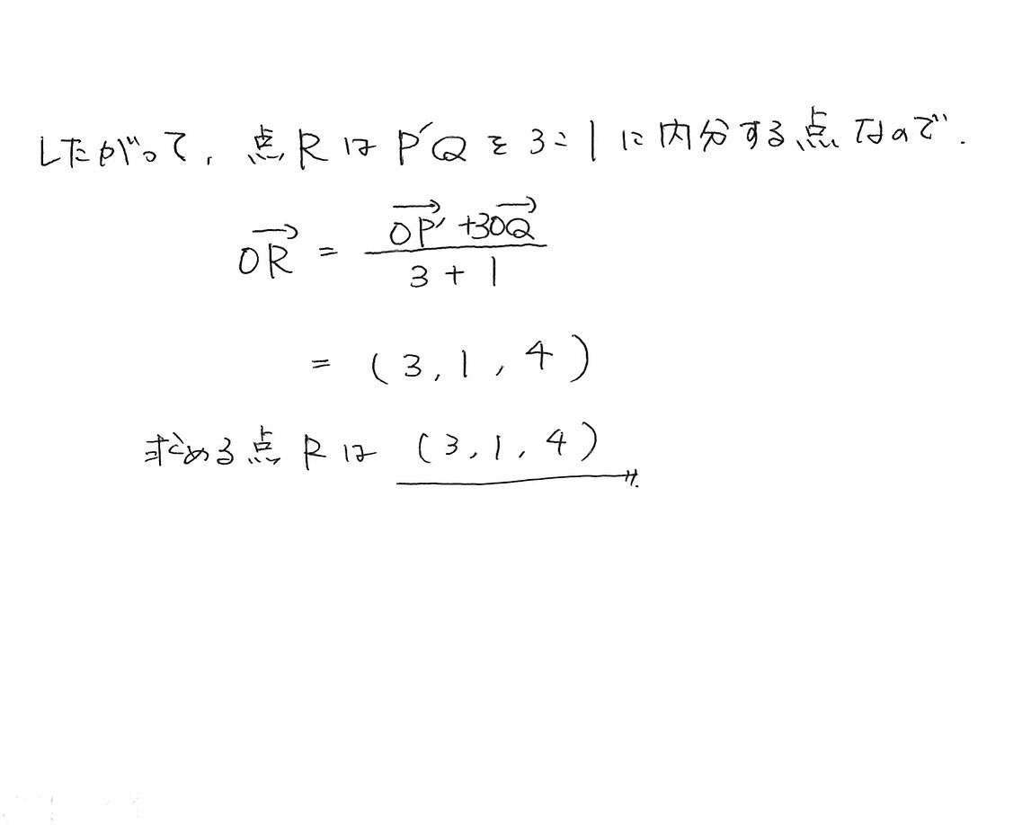
20221222_115327735_iOS.jpg




#学習#高校数学#大学受験#過去問解説
user
笹野虎太郎
教員,塾講師,投資家 / 30代後半 / 男性
  • 一覧に戻る
サービス数40万件のスキルマーケット、あなたにぴったりのサービスを探す ココナラコンテンツマーケット ノウハウ記事・テンプレート・デザイン素材はこちら