ココナラブログ
  • ホーム
  • ブログトップ
  • ブログ
  • 学び

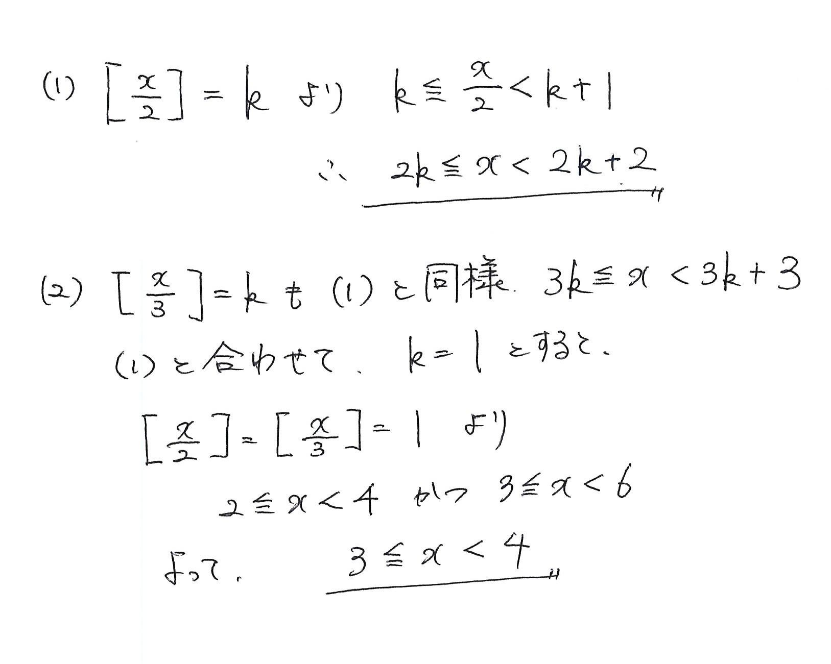
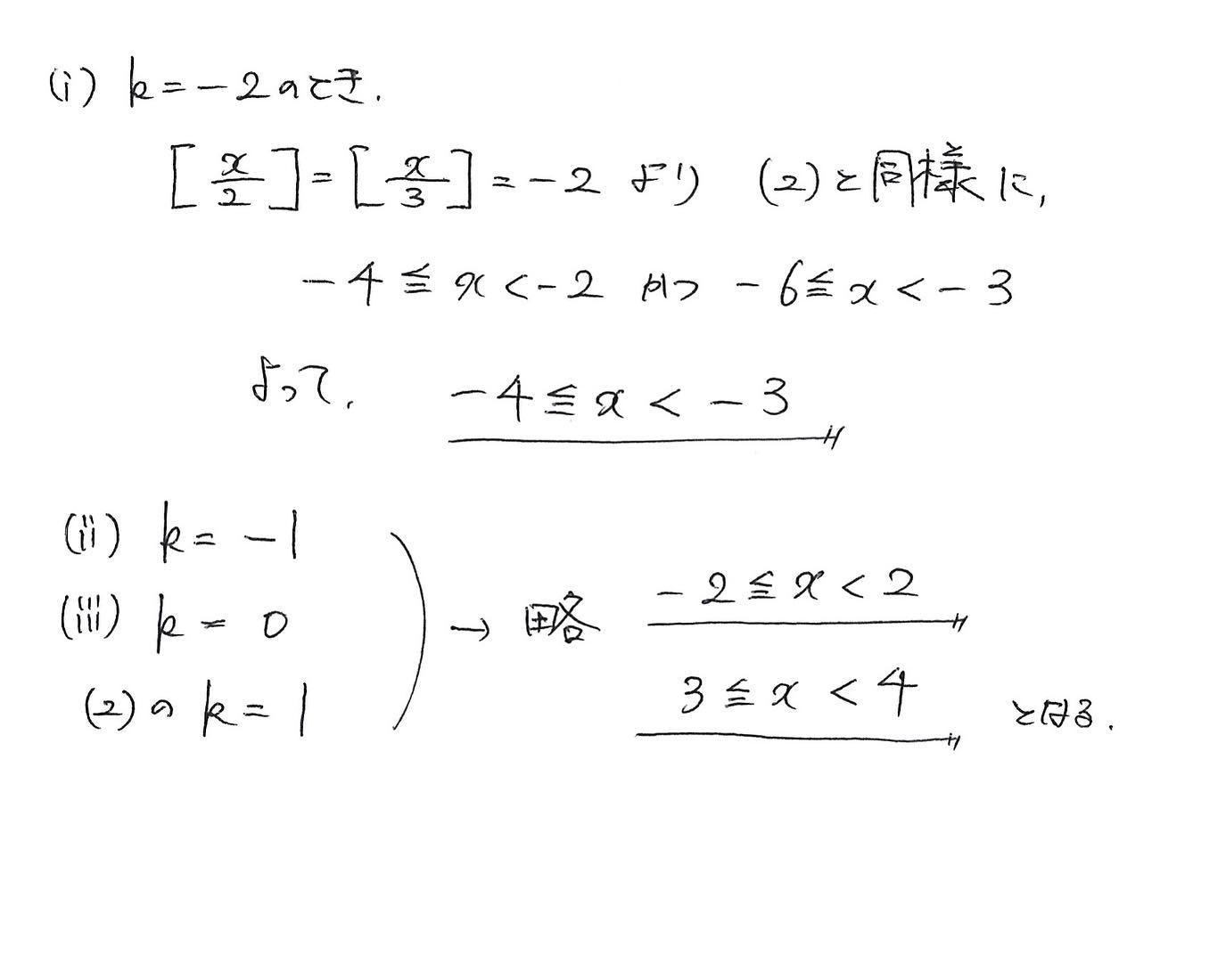
大学入試 過去問 信州大学 数学

記事
学び
user
笹野虎太郎
2022/11/27 19:27
20221126_022220000_iOS.jpg
20221126_075852639_iOS.jpg
20221126_075852655_iOS.jpg
20221126_075852671_iOS.jpg
20221126_075852689_iOS.jpg

#学習#大学受験#高校数学#過去問解説
user
笹野虎太郎
教員,塾講師,投資家 / 30代後半 / 男性
  • 一覧に戻る
サービス数40万件のスキルマーケット、あなたにぴったりのサービスを探す ココナラコンテンツマーケット ノウハウ記事・テンプレート・デザイン素材はこちら