ココナラブログ
  • ホーム
  • ブログトップ
  • ブログ
  • 学び

大学入試 過去問 名古屋大学 数学

記事
学び
user
笹野虎太郎
2022/11/25 22:02
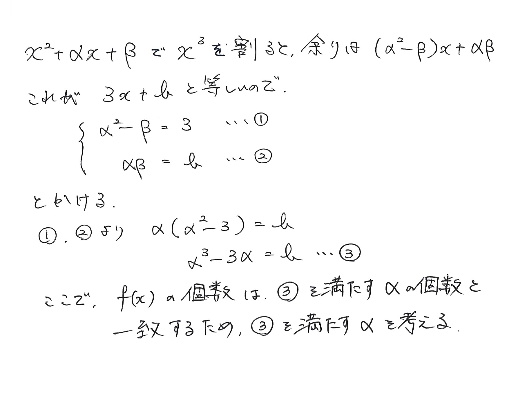
20221122_081035000_iOS.jpg
20221122_081036000_iOS 4.jpg
20221122_081036000_iOS.jpg
20221122_081036000_iOS 1.jpg
20221122_081036000_iOS 2.jpg
20221122_081036000_iOS 3.jpg

#学習#大学受験#高校数学#過去問解説
user
笹野虎太郎
教員,塾講師,投資家 / 30代後半 / 男性
  • 一覧に戻る
サービス数40万件のスキルマーケット、あなたにぴったりのサービスを探す ココナラコンテンツマーケット ノウハウ記事・テンプレート・デザイン素材はこちら