ココナラブログ
  • ホーム
  • ブログトップ
  • ブログ
  • 学び

大学入試 過去問 横浜国立大学 数学

記事
学び
user
笹野虎太郎
2022/11/22 22:40
20221122_022652000_iOS.jpg
20221122_022652000_iOS 4.jpg
20221122_022652000_iOS 2.jpg
20221122_022652000_iOS 1.jpg
20221122_022652000_iOS 3.jpg

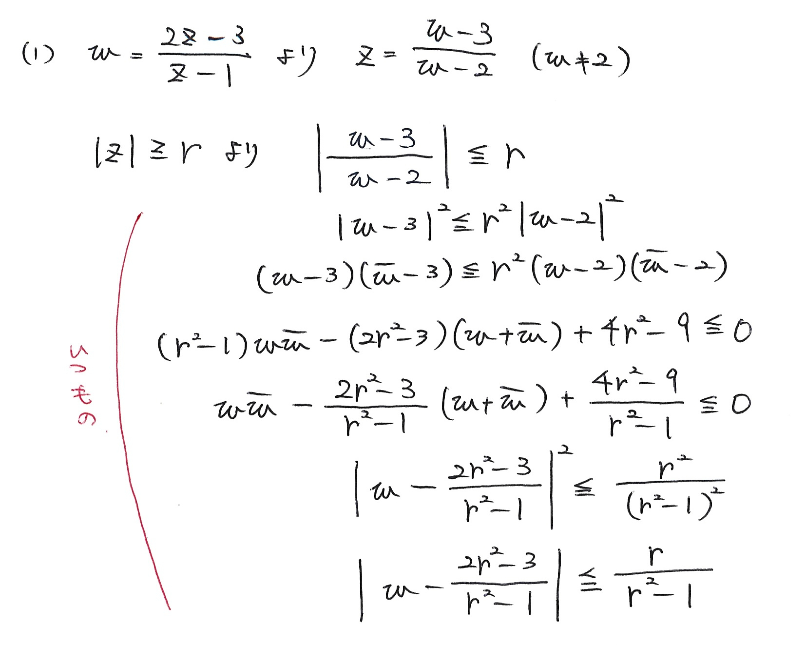
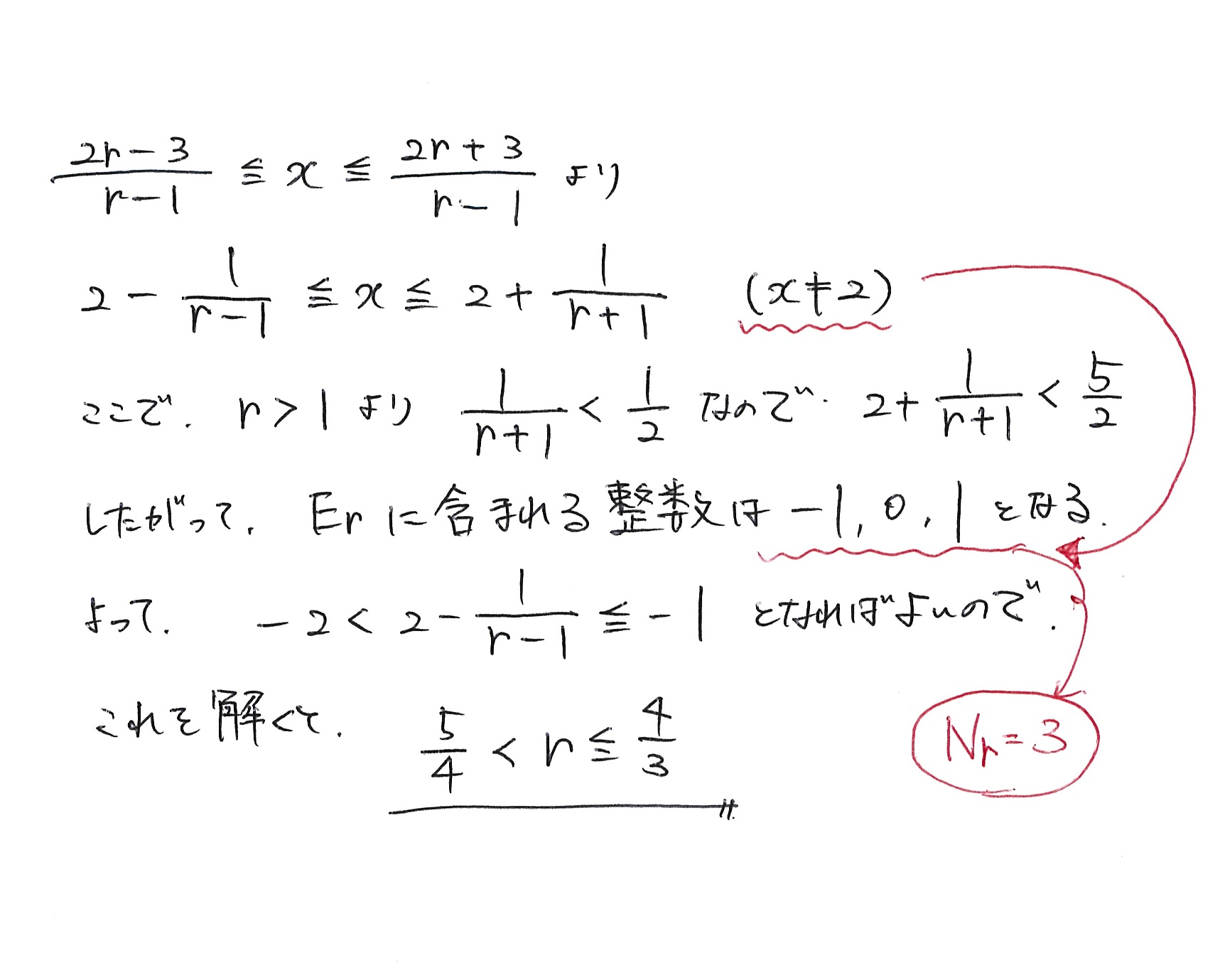
#学習#高校数学#大学受験#過去問解説
user
笹野虎太郎
教員,塾講師,投資家 / 30代後半 / 男性
  • 一覧に戻る
サービス数40万件のスキルマーケット、あなたにぴったりのサービスを探す ココナラコンテンツマーケット ノウハウ記事・テンプレート・デザイン素材はこちら