エネルギーの原理・力学的エネルギー保存の法則

記事
学び
エネルギーに関して次の法則を覚えておかなければいけません 

⚪「エネルギーの原理」
された仕事の分だけ運動エネルギーが変化する

⚪「力学的エネルギー保存の法則」
仕事をする力が保存力だけのとき、位置エネルギーと運動エネルギーの和が保存される

⚪「エネルギーの原理の別表現」
 保存力以外の力がした仕事の分だけ、位置エネルギーと運動エネルギーの和が変化する


保存力とは、その力がする仕事がはじめの位置と最後の位置だけで決まってしまい、途中の経路には依存しない力のことです。具体的には、重力(万有引力)、弾性力、クーロン力です。

高校物理において、このエネルギーの原理・力学的エネルギー保存の法則を使いこなせるようになることは大きなテーマです。しかし、きちんと理解するのはなかなか困難です。

どこにポイントを置いて理解すればよいか、これから順を追って説明していきます。

練習問題をやりましょう。

<練習問題1>
Ⅰ (1)高さhの位置に質量mの小物体がある。高さ0の位置を基準面として、小物体の位置エネルギーはいくらか。重力加速度をgとする。
練習問題1-1.jpg

(2)高さ0の位置から高さhの位置まで、小物体をゆっくり持ち上げる。くわえなければならない外力の大きさF1はいくらか。また、その外力がする仕事W1を求めよ。

(3)(2)のとき、重力がした仕事はいくらか。

(4)高さhの位置から小物体を自由落下させた。高さ0の位置に達したときの小物体の速さv1を求めよ。

Ⅱ 今度は角度θの滑らかな斜面を用いて小物体を持ち上げる。
練習問題1-2.jpg

(5)小物体を斜面に沿ってゆっくり持ち上げるために、斜面に平行な向きに力をくわえる。くわえなければならない外力の大きさF2はいくらか。

(6)高さh持ち上げるのに外力がする仕事W2を求めよ。

(7)(6)のとき、垂直抗力がする仕事はいくらか。

(8)小物体を斜面上の高さhの位置で静止させてから、支えをはずして斜面を滑り降ろさせる。高さ0の位置に達したときの小物体の速さv2を求めよ。

Ⅲ 次にⅡの斜面に摩擦がある場合を考える。斜面と小物体間の動摩擦係数をμとする。

(9)小物体を斜面に沿ってゆっくり持ち上げるために、斜面に平行な向きに力をくわえる。くわえなければならない外力の大きさF3を求めよ。また、高さhまで持ち上げるのに外力がする仕事W3を求めよ。

(10)小物体を斜面上の高さhの位置で静止させてから、支えをはずすと小物体は斜面を滑り降り始めた。高さ0の位置に達したときの小物体の速さv3を求めよ。


<解説>
(1)位置エネルギーはmgh

(2)「ゆっくり」ですから、はたらく力はつり合っています。重力と外力がつり合うので、外力は上向きmgです。

F1=mg。

外力は上向きで、小物体は上向きにh変位するので、仕事は

W1=mgh

外力がした仕事の分だけ位置エネルギーが変化したことが分かります。エネルギーの原理ですね。

(3)重力は下向きで、小物体の変位は上向きなので、仕事は負。-mgh

仕事を求めるときは、力の向きと変位の向きが、同じなのか、逆向きなのか、垂直なのか、それとも斜めなのか、に注意します。

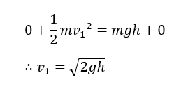
(4)落下の過程で、仕事をするのは重力だけです。重力は保存力なので力学的エネルギーが保存されます。

はじめは、位置エネルギーがmgh、運度エネルギーが0。終わりは、位置エネルギーが0、運動エネルギーが1/2・mv1^2。両者の和が等しいとして
img1.png
(5)はたらく力を図にします。 

Nは垂直抗力です。
練習問題1-3.jpg

「ゆっくり」ですから、はたらく力はつりあっています。図から

F2=mgsinθ

(6)外力は斜面に沿って上向き。小物体は斜面に沿って上向きにh/sinθ変位するので

W2=mgsinθ×(h/sinθ)=mgh

このようにW2はW1に等しいです。

垂直抗力は仕事せず、仕事をするのは外力と重力です。外力は保存力でなく、重力は保存力です。運動エネルギーは変化していません。したがって、エネルギーの原理から、外力のした仕事が位置エネルギーの変化に等しい、と考えれば、即W2=mghと分かります。

はたらく力は、重力と外力と垂直抗力
  ↓
重力と外力は仕事をする、垂直抗力は仕事をしない
  ↓
重力は保存力
  ↓
運動エネルギーは変化していない
  ↓
したがって、外力がした仕事の分だけ位置エネルギーが変化する
あるいは、重力がした仕事と外力がした仕事の和が0

F2<F1ですから、斜面を用いることによって、小さい力で持ち上げることができることが分かります。しかし、W2=W1で、仕事は得をすることができません(仕事の原理)。力は小さく済んでも、その分移動距離が伸びているのです。

(7)垂直抗力は変位と垂直なので仕事をしません。答えは0です。

仕事を求めるときは、力の向きと変位の向きが、同じなのか、逆向きなのか、垂直なのか、それとも斜めなのか、に注意します。

(8) はたらく力は重力と垂直抗力
  ↓
重力は仕事をする、垂直抗力はしない
  ↓
重力は保存力
  ↓
力学的エネルギー保存の法則が使える
img2.png
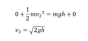
位置エネルギーmghが運動エネルギーに変化するという点は(4)と同じなので、v2はv1と同じです。しかし、2つの速度の、速さは同じでも向きが違います。 

エネルギーや仕事はスカラーなので向きがありません。速度の向きがどちらでも、速さvが同じならば、運動エネルギー1/2・mv^2は1/2・ mv^2です。ときどき、「右向きの運動エネルギー」などと考えている人がいるので、注意が必要です。 

例えば、物体が等速円運動をしているとき、物体は仕事をされていないので、運動エネルギーは変化しませんが、速度の向きは刻一刻と変化していますね。

つまり、この問題で分かることは、位置エネルギーが運動エネルギーに変わるということは同じでも、速度の向きがどうなるかは状況によって異なる、ということです。

(9)再び、はたらく力をすべて図にします。

fは動摩擦力です。
練習問題1-4.jpg

「ゆっくり」なので、はたらく力はつりあっています。

F3=mgsinθ+f

動摩擦力fは

f=μN=μmgcosθ
∴F3=mgsinθ+μmgcosθ

小物体は斜面に沿って上向きにh/sinθ変位するので

W3=F3×(h/sinθ)=mgh+μmgh/tanθ=mgh(1+μ/tanθ)

摩擦が邪魔をする分、W3はW1、W2より大きくなります。仕事が余分にいるわけです。

(10)はたらく力を図示します。
練習問題1-5.jpg

動摩擦力は(9)と逆向きですが、大きさは同じです。

f=μmgcosθ

重力mgがした仕事、すなわち失われた位置エネルギーはmgh。

摩擦力は斜面に沿って上向きで大きさf。小物体は斜面に沿って下向きにh/sinθ変位します。力の向きと変位が逆向きなので仕事は負です。動摩擦力がした仕事をWとすると

W=-f×(h/sinθ)=-μmgh/tanθ

垂直抗力は変位と垂直なので仕事をしません。

エネルギーの原理「された仕事の分だけ運動エネルギーが変化する」より
img3.png
あるいは、エネルギーの原理「保存力以外の力がした仕事の分だけ力学的エネルギーが変化する」より 
img4.png
としてもOKです。

はたらく力は重力と摩擦力と垂直抗力
  ↓
重力と摩擦力は仕事をする、垂直抗力はしない
  ↓
重力は保存力
  ↓
したがって、摩擦力のした仕事の分だけ力学的エネルギーが変化する
あるいは、重力と摩擦力がした仕事の分だけ運動エネルギーが変化する

このように順を追って考えられることが望ましいです。

摩擦が邪魔をした分、v3はv1、v2より小さくなっています。エネルギーロスがあるわけです。


エネルギーの原理・力学的エネルギー保存の法則の式だけを暗記していても意味がありません。

どういう条件でそれが成り立つのかまで理解して、ちゃんと使いこなせるようになっていないといけません。教科書に書いていることを覚えてそれだけで安心していてはダメですよ。でも、確かに難しいですね。


練習問題1でも用いた、使い方の手順を述べます。後で具体的な問題を用いて解説するので、一読で理解する必要はありません。


⚪エネルギーの原理・力学的エネルギー保存の法則を使いたいと思ったら

 ①はたらく力をすべて挙げる(図にする)
 ②すべての力を、仕事をする力としない力に区別する
 ③仕事をする力がした仕事量を求める
 ④エネルギーの原理・力学的エネルギー保存の式を立てる

あるいは、2と3の間に保存力かどうかの判断を入れてもいいでしょう。

 ①はたらく力をすべて挙げる(図にする)
 ②すべての力を、仕事をする力としない力に区別する
 ③仕事をする力が保存力かどうか判断する
 ④仕事をする力がした仕事量を求める
 ⑤エネルギーの原理・力学的エネルギー保存の式を立てる

仕事をするかしないかは、力の向きと変位の向きが垂直かそうでないかで判断します。



この手順を具体的な問題に当てはめてみましょう。

<練習問題2>
質量mの小球に長さrの軽い糸をつないで、鉛直面内で円運動をさせる。図のように、円の最下点を速さv0で出発させる。図の、最下点から糸が角θをなす状態に小球が達したときの小球の速さvを求めよ。重力加速度をgとする。
練習問題2-1.jpg

<解説>
手順にしたがいます。

まず、はたらく力をすべて図にします。
練習問題2-2.jpg

運動の過程ではたらく力は重力mgと糸の張力Tです。

次に、力が仕事をしているかいないかです。

高さが変化しているので、重力は仕事をしています。張力は糸に平行で、糸は円運動の径です。ということは、小球の速度(小球の運動方向)と張力の向きは常に垂直です。したがって張力は仕事をしていません。

このように1つ1つ仕事するかしないか判断します。

重力は保存力です。

仕事をする力が保存力だけなので力学的エネルギー保存の法則が使えます。
img5.png

この問題は比較的基本的な問題ですが、多分、多くの人が、なんとなく力学的エネルギー保存だろう、として解いて、答えがあっていたらOK、で終わっているのではないでしょうか?

力学的エネルギー保存の法則を使うのなら、使える条件を満たしていなければいけません。当然、条件を満たしていることを確認するのが当たり前。ところが、条件など確認せず、タダなんとなく使っている人が多いです。

なぜ使えるのかもわからないままに使って、たまたま正解だったからそのままスルー、では勉強したことになりません。

といっても、自分で考えるのは難しいので、本書を参考にしてみてください。


はたらく力は重力と張力
  ↓
重力は仕事をする、張力はしない
  ↓
重力は保存力
  ↓
したがって、力学的エネルギー保存の法則が使える

きちんとこのように考えることができましたか?

このように、論理立てて、手順に従って考えられることが大切です。


<練習問題3>
床に固定された、水平面と角度θをなす、なめらかな斜面上に、ばね定数kの軽いバネを置く。バネの下端は固定されていて、上端には質量mの小球がつながれている(図参照)。小球を引っ張ってバネを伸ばし、バネの伸びがx0になったところでいったん小球を静止させる。その状態から小球を静かに放すと小球は斜面に沿って滑り降り始めた。バネの伸びが0になったときの小球の速さvを求めよ。ただし、バネは最大傾斜の方向に沿って置かれており、その方向にのみ伸縮する。重力加速度はgとする。
練習問題3-1.jpg

<解説>
エネルギーについての式を立てます。手順を踏みます。

まず、力をすべて挙げる、からです。
練習問題3-2.jpg

重力mg、バネの伸びがxのとき弾性力kx、垂直抗力N、これですべてです。
次は、仕事をするかしないかの判断。

重力、弾性力は変位と垂直ではないので仕事をします。垂直抗力は変位と垂直なのでしません。

重力、弾性力ともに保存力です。

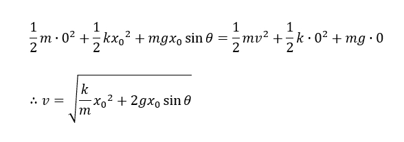
したがって、運動の過程で力学的エネルギー保存の法則が成り立っています。
img6.png
どうですか?手順がわかってきましたか? 

保存力が2つであろうと、手順に変わりはありません。

力学的エネルギー保存の法則
img7.png
と公式を暗記するのではなくて、「仕事をする力が保存力だけのとき、運動エネルギーと位置エネルギーの和が保存される」と内容を正しく理解するべきです。 


<練習問題4>
図のような円錐形の容器がある。この容器を中心軸が鉛直、頂点Oが下になるように設置する。質量mの小球を容器の内面上で運動させる。容器の面と小球の間には摩擦はなく、小球の大きさは無視できる。頂点Oにおいて中心軸は円錐面と角度θをなす。また、重力加速度の大きさはgとする。

頂点Oから距離l1の容器内面の点Aに小球を置き、大きさv1の初速度を与えると、小球は円錐面に沿って運動を始めた。しばらくすると小球は頂点Oから距離l2の点Bに達した。点Bを通過する瞬間の小球の速さを求めよ。
センター2017-1.jpg

<解説>
運動の過程で小球にはたらく力を図示します。
センター2017-2.jpg

重力mg、垂直抗力Nです。

重力は高さが変化しているので仕事をしています。垂直抗力は変位と垂直なので仕事をしません。
重力は保存力です。

仕事をする力が保存力だけなので、力学的エネルギー保存の法則が成り立っています。

求める速さをv2とすると
img8.png
どのような経路を経て点Bに至ったかは関係ないのですね。 


本編はここで終了です。次編で応用問題を扱います。

━━━━━━━━━━━━━━━━━━━━━━━━

・独学で大学受験を目指しているが、どうしても誰かに質問したいことがあって困っている

・学校、予備校・塾で分からないことがあるが、質問しづらい雰囲気

こういう方いませんか。そんな方には【チャットサポート授業】


チャットのサンプルはこちら
504F20E8-9F6B-46DF-859B-B8E84D3EACC1_1_201_a.jpeg
9748C67A-7702-45E7-91BA-7FEFCC364E63_1_201_a.jpeg

生徒にはとても分かりやすいと好評です。

独学で一人悩みを抱え込まないように
予備校通いをムダにしないために

【チャットサポート授業】をお考えください。ぜひ。


プロフィール

高校物理・化学家庭教師
生徒合格実績
東京大学理Ⅲ、大阪市立大学医学部、近畿大学医学部、近畿大学薬学部など
学習参考書『高校物理発想法』出版
その他、Kindle書籍多数出版


サービス数40万件のスキルマーケット、あなたにぴったりのサービスを探す ココナラコンテンツマーケット ノウハウ記事・テンプレート・デザイン素材はこちら