#039 統計の活用(5) 違うエリアでの視聴率の差 母比率差検定

記事
コラム
前回視聴率の話でしたので、その流れでもう一つ考えてみます。
あるドラマの視聴率を調査したところ、関東地区では5000世帯中1000世帯が視聴していたことがわかりました。一方、関西地区では3000世帯中540世帯が視聴していたことがわかりました。この結果から、2地区の視聴率に差があるといえるでしょうか。
単純に考えると、関東地区は1000/5000=20%、関西地区は540/3000=18%となり、関東地区が2%高いことになります。でもそれが誤差範囲なのか、それとも意味のある差(有意差)なのかがわかりません。前回の母比率区間推定を使ってみると、95%の信頼区間での範囲は、関東地区で18.9%~21.1%、関西地区は16.6%~19.4%となり、18.9%~19.4%が重なっています。では差はないのでしょうか? ここでのポイントは、2つのグループについて、それぞれ抽出した調査対象数(標本数)と割合がわかっているときの母集団の推定です。
今回の場合は、「母比率差の検定」という手法を使います。これは「2つの標本から得た標本比率を使って母比率が等しいかを検定する方法」です。つまり、2つの集団からそれぞれ一部を取り出して得られた比率の差より、2つの母集団の比率の差に意味があるか否かを検定します。
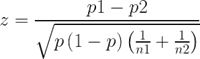
ここで以下の通り変数を定義します。
1群目(関東地区)の標本比率をp1(=0.2)
 サンプルサイズをn1(=5000)
2群目(関西地区)の標本比率をp2(=0.18)
 サンプルサイズをn2(=3000)
2つの標本比率を1つにまとめた標本比率を
 p{=(1000+540)/(5000+3000)}
そうすると、「関東地区と関西地区の視聴率は等しい」場合のz値は以下の式で表せます。
母比率差の検定 式1.jpg

母比率差の検定 式2.jpg

この値を、前回出てきた標準正規分布で見てみると、下図の場所になり、右側の2.5%のエリアに含まれることがわかります。したがいまして、真ん中の95%の確率から外れていることとなり、視聴率が等しいと判断できる確率は5%未満となります。これは統計学上めったに起こらない事象と判断されます(コインを投げて、4回続けて表が出る確率が6.25%で、それよりも小さい)ので、視聴率の差は誤差ではなく、なんらかの意味のある差であると言うことができます。

母比率差の検定.jpg
これを専門的な言い方をすれば以下になります。
『帰無仮説を「関東地区と関西地区の視聴率は等しい」とし、対立仮説を「関東地区と関西地区の視聴率に差がある」とする。
得られた結果を母比率差の検定にかけるとz値が2.197となった。
これは信頼区間を95%とした場合の棄却域に入っていることから、帰無仮説を棄却し、対立仮説を採択することになる。したがって関東地区と関西地区の視聴率に有意な差があると結論づけられる。』



サービス数40万件のスキルマーケット、あなたにぴったりのサービスを探す ココナラコンテンツマーケット ノウハウ記事・テンプレート・デザイン素材はこちら